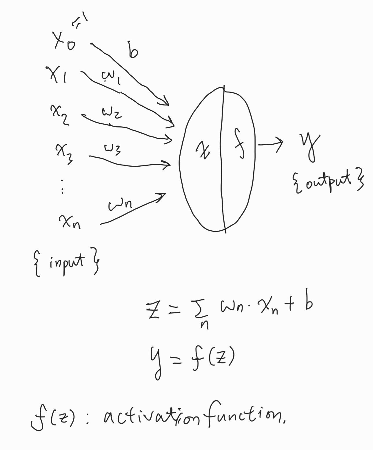
뇌를 구성하는 신경세포인 뉴런의 동작을 모사한 인공 신경망 구조
다양한 Input 이 node 로 들어와서 그 값에 따라 Output 이 정해진다.

'Terminology' 카테고리의 다른 글
| [CIS] Signal-to-noise ratio (SNR) (0) | 2023.06.28 |
|---|---|
| [CIS] AF (Auto Focus) (0) | 2023.06.28 |
| [Color] CIE 1931 XYZ color space (1) | 2023.06.28 |
| [Color] Color Space : Color Gamut (0) | 2023.06.27 |
| [Qt] 설치 (1) | 2023.05.24 |