Maximum ratio of all noise compared to the signal including shot noise and temporal dark noise (unit: dB)

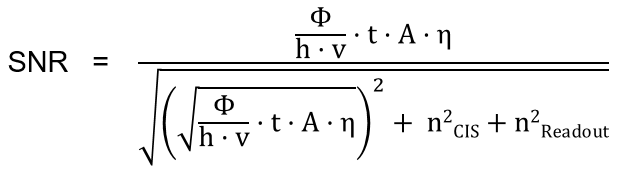
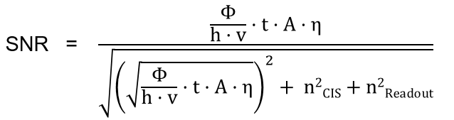
Here, the signal is expressed as follows:


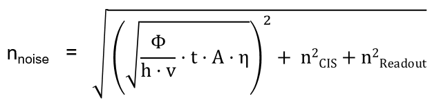
Noise electrons due to photons or shot noise are as follows:

Here, noise is mainly composed of shot noise, image sensor noise, and readout noise.
Because the noise sources are not corrleated, the total number of noise electrons is as follows:

Therefore, signal-to-noise ratio (SNR) is given by:

1) For large light signal:

The photon noise is dominant in this case in which:

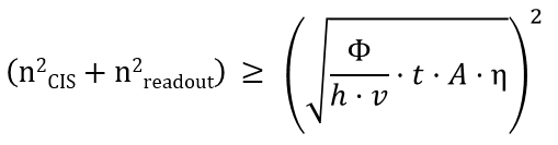
2) For small light signal:

The image sensor noise is dominant in which:

Also, FWC is related to SNR. Larger FWC will enable higher SNR.


In addition, since FWC is transformed to output signal by conversion gain, SNR should be considered with conversion gain value, which is determined by a total capacitance of Floating diffusion node.

'Terminology' 카테고리의 다른 글
| [CIS] Pedestal (0) | 2023.07.03 |
|---|---|
| [Optic] 굴절률 (0) | 2023.06.30 |
| [CIS] AF (Auto Focus) (0) | 2023.06.28 |
| [Color] CIE 1931 XYZ color space (1) | 2023.06.28 |
| [Color] Color Space : Color Gamut (0) | 2023.06.27 |