1931년 국제 조명 위원회 (International Commission on illumination) 에서 제정한 색 공간을 의미한다.
라이트와 길드라는 분의 색 연구 결과가 이 색 공간 제정이 기초 연구가 되었는데, 그 실험은 다음과 같다.
구의 한쪽면에는 700nm (RED), 546.1nm(Green), 435.8nm(Blue) 각각의 광원들을 사용해서 빛을 비추고 반대쪽에서는 모노크로미터 장치를 통해 빛의 파장을 바꿔가면서 다른 반쪽 구로 빛을 쏘았다. 표준 관찰자는 구 양면에 들어온 빛을 2도의 시야각으로 관찰하며, 두 종류 색 광원의 Intensity를 조절하여 두 면의 색이 서로 같을 조건을 찾아내게 하는 실험을 진행했다.

두 사람은 여러가지 파장을 갖는 단색광을 갖고 다양한 실험을 반복을 통해서, 결국 세가지 색 r(λ), g(λ), b(λ) 의 함수로 특정 파장의 색을 정의하도록 함수를 만들 수 있었다.
재미난 것은 450nm에서 539nm 사이의 파장의 색역에서는 Red, Green 과 Blue로 해당색을 만들지 못하여, 모노크로메터 광원에 Red를 추가하여 혼색을 만들어 해당 색을 구현 했으며, 이렇게 사용된 Red Intensity는 음수값으로 정의했다.

위의 그래프는 삼원색의 절대 밝기를 나타내는 것이 아니라, 그래프 아래의 면적이 동일한 값이 되도록 Normalization 되었다. 따라서 삼원색의 식은 아래와 같이 표현 할 수 있다.

그래서 표준화된 색 함수는 각각 r:g:b가 1:4.5907:0.0601의 휘도(Luminance) 비율을 갖고, 72.0962:1.3791:1의 방사속 (단위 면적당 들어가는 광 에너지로 단위는 와트, W) 비율을 갖도록 만들어졌다.
※휘도(Luminance) : 광원에서 나오는 빛 혹은 반사되어 빛나는 2차적인 광원의 밝기를 나타내는 양을 의미하는데, 단위 면적당 들어가는 광속 (Opitcal flux)으로, 즉 빛의 양을 의미하며 단위는 cad/m^2 or nit 로 표현된다. 1cd/m^2 는 촛불하나가 1m^2를 비추는 광량을 의미한다. 휘도는 눈부심의 정도, 대상면에서 반사되는 빛의 양을 의미한다. 공간이 전체적인 인상으로 밝기, 어둡기를 평가하는데 효과적이다.
※조도(Illumination) : 단위는 lux 로 빛 밝기의 정도를 의미하며, 특정 면에 부딪히는 빛의 양을 의미 1lux = 1lm/m^2. 1lux 역시 촛불하나의 양을 의미함.
※밝기(Brighness) : 사람의 망막의 시세포에 사람이 밝게 감지하는 정도.
※빛의 양과 에너지는 언뜻 같아 보이지만, 빛이 파장에 따라 에너지가 다른 것 처럼 다른양이다.

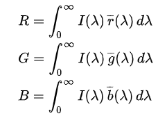
스펙트럼 파워 분포가 I(λ)인 어떤 색이 갖는 RGB 자극값은 다음과 같다

식을 보면 어려워 보이지만 파장에 따른 Intensity를 가지는 특정 광원의 색은 위의 식으로 부터 각각 R, G, B 값을 정의 할 수 있다는 것을 생각해보면 쉽게 이해 된다. 예를 들면 I(lambda) 는 D65 특성을 갖는 광원이라고 하면, 위 수식으로 해당 RGB 에 해당되는 값을 각각 얻을 수 있다.
이런 색의 정의를 CIE RGB 색 공간이라고 부르고, 이 색공간은 CIE XYZ 색 공간으로 Linear하게 변환 될 수 있다.
CIE XYZ 는 기존의 CIE RGB 색 공간이 휘도(밝기)를 표현하기에 적합하지 않은 문제를 해결하기 위해 만들어졌다.

CIE XYZ 색 공간에서 Y 값이 밝기 또는 조도가 되도록 모델링 되어 있다. 따라서 어떤 색의 색도는 두 개의 값 X, Y, Z로부터 계산된 값 x, y로 표현할 수 있다.

x, y, Y로 표현된 색 공간을 우리는 CIE xyY 색 공간이라 부르며, 실제로 색깔을 나타내기 위한 용도로 많이 사용된다.
이 공간은 동일한 Y(휘도)를 갖는 x,y 평면에서 그려진다.

외곽의 곡선모양의 테두리는 단색광에 대해서 x, y 로 표현된 것이며, CIE Color Space의 기반이 표준 관찰자의 색에 대한 감각을 기반으로 진행 된 것임을 기억하자. 색도 분포표는 평균적인 사람이 눈에 보이는 모든 색을 표현 할 수 있다. 아래쪽에 있는 Purple 과 RED를 연결하는 색은 단색광으로 표현할 수 없는 색이다. 채도가 낮은 색은 이 색역의 가운데 영역에 있으며, 한가운데 흰색이 존재한다.
이 색 도표에서 임의의 두점을 찍고, 두 점을 연결하는 선은 두 색을 섞어서 나타낼 수 있는 모든 색깔을 의미한다. 따라서 세 색을 임의로 찍은 경우에는 세점이 이루는 삼각형 안에 표현할 수 있는 모든 색이 존재한다고 할 수 있다.
'Terminology' 카테고리의 다른 글
| [CIS] Signal-to-noise ratio (SNR) (0) | 2023.06.28 |
|---|---|
| [CIS] AF (Auto Focus) (0) | 2023.06.28 |
| [Color] Color Space : Color Gamut (0) | 2023.06.27 |
| [AI] Perception (3) | 2023.06.02 |
| [Qt] 설치 (1) | 2023.05.24 |